|
TRANSLATE THIS ARTICLE
Integral World: Exploring Theories of Everything
An independent forum for a critical discussion of the integral philosophy of Ken Wilber
![]() Frank Visser, graduated as a psychologist of culture and religion, founded IntegralWorld in 1997. He worked as production manager for various publishing houses and as service manager for various internet companies and lives in Amsterdam. Books: Ken Wilber: Thought as Passion (SUNY, 2003), and The Corona Conspiracy: Combatting Disinformation about the Coronavirus (Kindle, 2020).
Check out my other conversations with ChatGPT Nonlocal EntanglementPhysics, Formalism, and Metaphysical InflationFrank Visser / ChatGPT
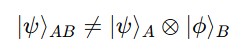
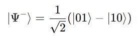
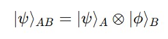
![]() Few concepts in modern physics have traveled so quickly from technical formalism into popular metaphysics as “quantum entanglement.” In the scientific literature, entanglement refers to a rigorously defined structural feature of composite quantum systems. In spiritual and mystical discourse, it has become a metaphor for cosmic unity, telepathy, collective consciousness, and even divine interconnectedness. The distance between these two usages is vast. Clarifying that distance is essential. 1. What Entanglement Actually IsIn quantum mechanics, the state of a system is represented by a vector in a Hilbert space. When two systems A and B are combined, their joint state resides in the tensor product space: ![]() A state is entangled if it cannot be factorized into a product of individual states: ![]() The canonical example is the Bell state: ![]() In this state, measurement outcomes are perfectly anti-correlated. Yet neither subsystem possesses a definite state independently. The system is defined only relationally. This structural feature was first highlighted in the famous 1935 paper by Albert Einstein, Boris Podolsky, and Nathan Rosen (the EPR paradox), who argued that quantum mechanics must be incomplete because it predicted what Einstein called “spooky action at a distance.” Decades later, John Bell derived inequalities showing that no local hidden-variable theory could reproduce quantum predictions. Experimental tests, beginning with Alain Aspect in the 1980s and continuing with increasingly loophole-free experiments, confirmed violations of Bell inequalities. Entanglement is real. But what does “real” mean here? It means that measurement correlations between spacelike-separated systems cannot be explained by any theory that preserves both locality (no faster-than-light influence) and realism (measurement outcomes determined by pre-existing properties). Something has to give. 2. What Entanglement Is NotEntanglement does not permit faster-than-light signaling. The no-communication theorem guarantees that while correlations are nonlocal, they cannot be used to transmit information instantaneously. Relativity remains intact at the level of observable signaling. Entanglement does not imply that “everything is connected” in a mystical sense. Technically, entanglement is fragile. Environmental decoherence rapidly destroys entangled states. Macroscopic objects at room temperature are overwhelmingly classical because environmental interactions suppress coherent phase relations. Entanglement does not demonstrate that consciousness creates reality. The formalism of quantum mechanics requires measurement interactions, but these need not involve human awareness. Decoherence theory explains classical outcomes via system-environment interactions without invoking minds. 3. Nonlocality: Structural, Not EnergeticQuantum nonlocality is often misunderstood as some mysterious force or hidden energy connecting distant particles. This is incorrect. There is no “quantum glue” binding particles across space. The nonlocality is encoded in the mathematical structure of the wavefunction—specifically, in the inseparability of joint states. No signal propagates between entangled particles at the moment of measurement. Rather, the correlation structure is fixed at state preparation. Measurement reveals that structure. This distinction is crucial: nonlocal correlation is not nonlocal causation. 4. The Mystical AppropriationFrom the 1970s onward, entanglement entered popular spirituality through writers such as Fritjof Capra in The Tao of Physics. The suggestion was that quantum nonlocality confirms ancient mystical insights about universal unity. Later, thinkers such as Deepak Chopra and others in the New Age movement used “quantum” language to frame claims about healing, intention, and consciousness shaping reality. The word “entanglement” became shorthand for psychic interconnection. In more philosophically sophisticated forms, some idealist or panpsychist philosophers argue that nonlocality supports a consciousness-based ontology—that the universe is fundamentally mind-like and unified. The problem is not metaphor per se. Physics can inspire philosophical reflection. The problem arises when technical terms are extracted from their formal context and treated as empirical confirmation of metaphysical doctrines. 5. Category Errors and Illicit InferenceThe misuse of entanglement typically involves one or more logical missteps: 1. From Mathematical Nonseparability to Ontological HolismThe wavefunction of a composite system is nonseparable. This does not imply that the cosmos is a single conscious whole. Nonseparability is a property of formal state descriptions. 2. From Correlation to CausationCorrelated outcomes do not entail instantaneous causal influence. 3. From Microphysics to Macroscopic ConsciousnessEntanglement at microscopic scales does not scale straightforwardly to brains or societies. Decoherence times in biological systems are extraordinarily short. 4. From Epistemic Indeterminacy to Metaphysical IdealismIndeterminacy in measurement outcomes does not imply that reality is fundamentally mental. These are not minor interpretive extensions; they are categorical leaps. 6. Why Entanglement Invites MetaphysicsQuantum mechanics undermines classical intuitions about separability, locality, and realism. That conceptual destabilization creates philosophical space. When physics disrupts mechanistic materialism, alternative ontologies rush in. Entanglement in particular tempts mystical readings because it: • Undermines naive atomism • Demonstrates relational structure • Challenges classical locality Relationality, holism, and interconnectedness are central motifs in mystical traditions. The resemblance is evocative. But resemblance is not equivalence. 7. Legitimate Philosophical ImplicationsQuantum entanglement does raise serious philosophical questions: • Should we abandon local realism? • Does the wavefunction represent physical reality or information? • Are spacetime and locality emergent rather than fundamental? Interpretations such as Many-Worlds, relational quantum mechanics, Bohmian mechanics, and objective collapse models each address entanglement differently. None require cosmic consciousness. It is possible to draw metaphysical lessons—but they must be disciplined by the mathematics and empirical constraints of the theory. 8. The Pattern of “Quantum Mysticism”The broader cultural pattern is clear: • A technical scientific concept destabilizes classical assumptions. • The concept is abstracted from its formal structure. • It is generalized into a metaphysical worldview. • Scientific authority is invoked to legitimize spiritual claims. This pattern is not unique to entanglement. It has happened with relativity (“everything is relative”), uncertainty (“observer creates reality”), and chaos theory (“butterfly effect explains synchronicity”). Entanglement is simply the most recent and rhetorically powerful example. 9. Conclusion: Precision Over PoetryNonlocal entanglement is one of the most profound discoveries in physics. It reveals that nature violates classical separability at a fundamental level. It forces reconsideration of realism, locality, and the ontology of the wavefunction. It does not validate mystical monism, telepathy, cosmic consciousness, or intentional healing. When entanglement is stretched beyond its formal meaning, it ceases to be physics and becomes metaphor—often disguised as empirical confirmation. There is nothing wrong with metaphor. But intellectual integrity requires that we distinguish clearly between mathematical structure and metaphysical speculation. Quantum mechanics is strange enough without being conscripted into spiritual apologetics. Appendix: Explanation of the Three FormulasThis appendix clarifies the three mathematical expressions shown in the header image and referenced in the essay. Each formula represents a different conceptual layer of quantum entanglement and nonlocality. 1. The Tensor Product Structure![]() This formula expresses how quantum systems combine. • HA is the Hilbert space of system A. • HB is the Hilbert space of system B. • ⊗ denotes the tensor product. In classical physics, the state space of two systems is simply the Cartesian product of their individual states. In quantum mechanics, the tensor product structure allows for superpositions of product states. This is what makes entanglement possible. The tensor product enlarges the state space in a way that permits joint states that are not reducible to independent components. Entanglement is therefore not an added feature—it is built into the mathematical architecture of composite quantum systems. 2. The Non-Factorization Condition![]() This expression defines entanglement formally. If a joint state can be written as a simple product of subsystem states, it is separable. If it cannot, it is entangled. A separable state: ![]() An entangled state: This non-factorizability means that the total system possesses properties that are not reducible to properties of its parts considered independently. Importantly, this is a statement about mathematical structure, not about mystical unity. It describes correlations encoded in the wavefunction. 3. The Bell State![]() This is a specific example of a maximally entangled two-qubit state. • ∣01⟩ means system A is in state 0 and system B in state 1. • ∣10⟩ means the opposite. • The minus sign indicates a specific phase relationship. • The factor 1/√2 ensures normalization. If one measures system A and finds it in state 0, system B will always be found in state 1. If A is 1, B will be 0. The outcomes are perfectly anti-correlated. Crucially: • Neither particle possesses a definite value prior to measurement (in standard interpretations). • The correlation persists even if the particles are spatially separated. • No usable signal travels between them at measurement. This state exemplifies what troubled Albert Einstein and motivated the EPR argument. Later, John Bell showed that such correlations cannot be reproduced by any local hidden-variable theory. Conceptual SummaryThe three formulas illustrate a progression: 1. Tensor product structure → composite systems allow joint states. 2. Non-factorization condition → some joint states are irreducible. 3. Bell state → concrete example of maximal entanglement and nonlocal correlations. Together, they define entanglement precisely. None of them imply cosmic consciousness, universal mind, or metaphysical holism. They describe a mathematically exact feature of quantum systems that has been experimentally confirmed—but whose meaning remains strictly within the framework of quantum theory unless one ventures into interpretation. That distinction—between formal structure and metaphysical extrapolation—is the core philosophical boundary explored in the essay.
Comment Form is loading comments...
|

Frank Visser, graduated as a psychologist of culture and religion, founded IntegralWorld in 1997. He worked as production manager for various publishing houses and as service manager for various internet companies and lives in Amsterdam. Books: 



